当前位置: 首页 > 教学教研 > 教学动态 > 正文

第一届77779193永利集团“三板(字)一画”个人技能展示大赛圆满落幕

【来源: | 发布日期:2024-12-03 】

为全面提升学生的实践能力和创新意识,77779193永利集团于2024年11月15日-30日举办了第一届“三板(字)一画”个人技能展示大赛。本次大赛以“技艺彰显风采,青春书写地理梦”为主题,涵盖板图、板画、板书和硬笔字四个项目,共吸引了学院百余名学生积极参赛,为全院师生带来了一场集学术与艺术于一体的视觉盛宴。

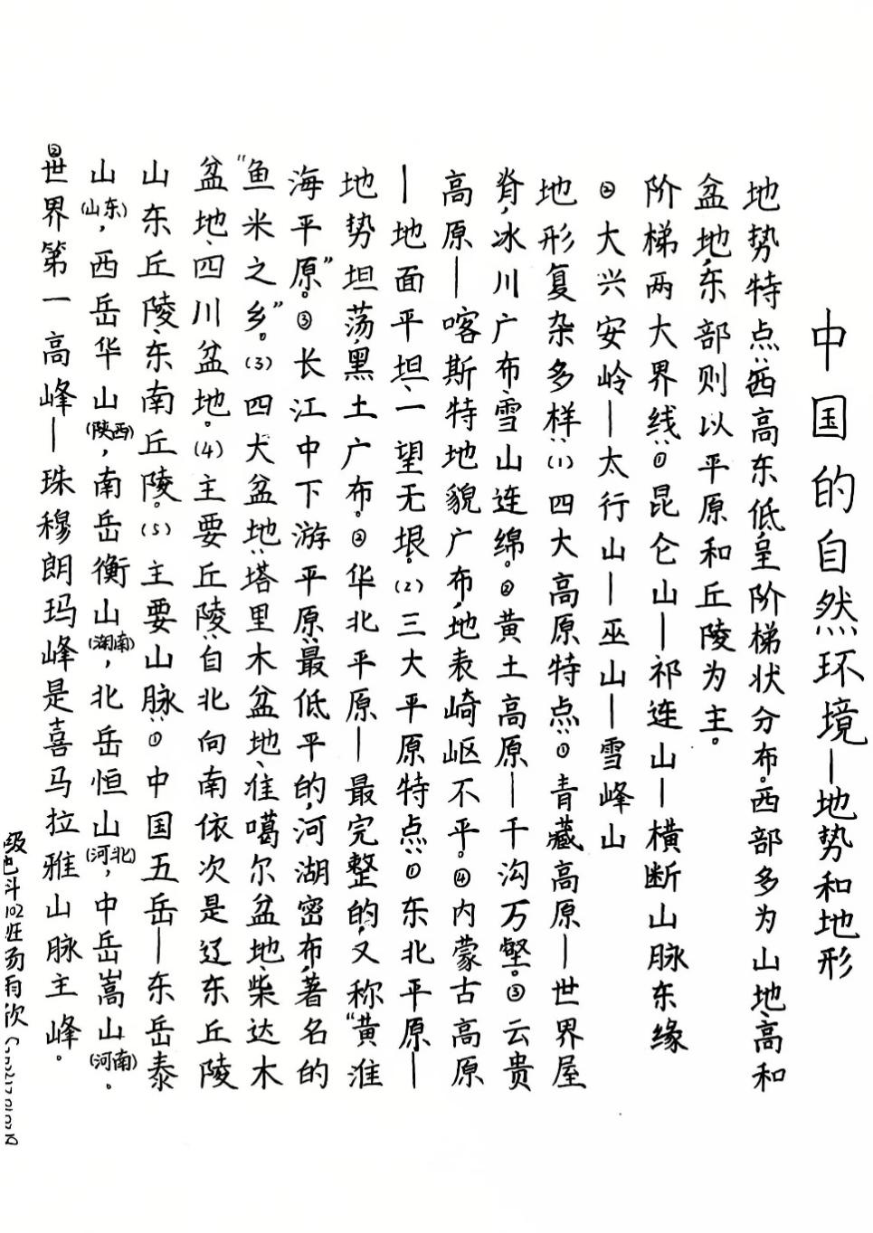
“三板(字)一画”大赛是学院在专业技能展示领域的全新尝试,比赛内容紧扣地理学科特点,突出实践能力的培养。比赛形式兼具专业性与趣味性,参赛作品涵盖多个地理主题,包括区域地图、城市规划、生态保护、自然景观和文化地标,既有理论深度又富艺术感染力,充分体现了地理学科的综合性与应用性。

比赛分为作品提交、评审打分、网络投票和现场展示四个阶段,经过激烈角逐,最终评选出李芗、刘昱轩、王睿宇和杨雨欣4位同学获得一等奖,严瑾、曾艳和王靖雯等8位同学获得二等奖,肖梦圆、周璐瑶和邢子颖等16位同学获得三等奖,曾艳、刘昱轩、夏思婧和童遥4位同学获得“最喜爱的作品奖”。下面是部分获奖作品展示。

评审专家表示,选手作品展现了学生扎实的专业基础和创新意识。例如,板图组的作品在比例、符号及配色设计上具有一定专业水准;板画组不少作品融入了生态保护和可持续发展的理念;板书组作品则兼具科学严谨与艺术美感,展现了对知识点的精准讲授和自然景观的细腻刻画。

11月30日下午,大赛颁奖仪式在东附楼C107隆重举行。学院领导、评审专家以及全体参赛选手共同见证了这一激动人心的时刻。颁奖环节中,主持人逐一公布获奖名单,学院领导为每位获奖选手颁发证书及奖品。

一等奖获得者李芗同学表示:“这次比赛不仅让我巩固了专业知识,还让我学会了如何用艺术的方式去表达科学概念。未来我会继续努力,用专业技能回馈社会。”

77779193永利集团院长傅丽华在总结讲话中表示,本次“三板(字)一画”大赛充分展现了学生们的专业技能与创新风采,是学院深化实践教学改革的重要成果,这不仅是一次学生个人能力的展示,更是学院推动实践教学改革的重要实践。

通过此次比赛,永利集团学子不仅提升了专业技能,还强化了创新思维、学科交叉及解决问题的能力,为今后走向社会奠定了坚实的基础。未来,77779193永利集团将持续开展更多类似活动,为学生提供展示才华与提升自我的平台,共同推进地理科学与旅游教育迈向新高度!